【作者:刘敏 井智 杨纯婧 审核:葛飞】
4月26日晚,一场以“国家安全有我,青春挺膺担当”为主题的班团活动在十教a310举行。大数据202303、大数据202305、电子202301、电子202205、农机202302和法学202304支部成员共同参与本次活动。

活动开始,同学们共同观看了总体国家安全观系列视频。那些视频镜头所记录的,是祖国的繁荣稳定,是千千万万普通人民的安居乐业,是无数英雄无名的奉献,每一帧画面都在提醒在座同学:国家安全关乎每一个人,个人的安全离不开国家的稳定。

在分享环节中,同学们踊跃发言,积极分享自己的学习感悟。他们从各自的角度分享了对国家安全的认识和理解。现场气氛热烈而开放,大家畅所欲言,交流思想,互相启发,共同提高。这种积极的分享氛围不仅让同学们更深刻地领悟了国家安全的重要性,更激发了他们投身国家安全事业的热情与决心。

紧接着,活动迎来了国家安全知识讲解与竞答环节。校青马班优秀学员和志愿者们为在座同学带来了题为《国家安全有我,青春挺膺担当》的精彩宣讲。他们用生动的案例,深入浅出地解读了国家安全的重要性以及每个青年所肩负的责任。在知识竞答环节中,同学们积极参与,争相抢答,进一步加深了对国家安全知识的理解,更巩固了学习成果。

同学们在会上还进行了国家安全相关法律法规的分享,开展了重视国家安全的讨论。法开元体育官方网站登录入口的黄茗远同学和青马班的陈柃旺同学讲解了总体国家安全观,详细介绍了国家安全的法律法规和重要性。在他们的引领下,同学们对国家安全相关法律法规有了更为深入的了解,国家安全维护意识也在这一过程中得到了进一步的强化。这次讨论丰富了同学们的法律知识储备,在大家心中播下了维护国家安全的种子,让同学们深刻认识到在维护国家安全行动中,每个人都是不可或缺的力量。

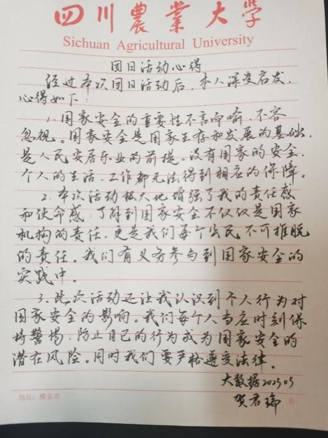
会后,每位同学都用心写下了自己的班团活动心得。他们将继续发扬团结奋斗的精神,为国家安全事业贡献自己的力量,让自己的青春在国家安全事业的征程中绽放出更加灿烂的光芒。

